2020年9月,关于雄性脱发还有很多未解之谜。但我们基本达成一致认知:雄性脱发和遗传、雄性激素(具体为双氢睾酮DHT)关系最大。我们都知道,雄性激素主要包括睾丸酮(T)和双氢睾酮(DHT),睾丸酮主要由睾丸分泌而来,双氢睾酮主要由睾丸酮经5α还原酶转化而来。
一般而言,雄性激素随男性性成熟在体内逐渐攀升,这个时间点和很多人开始脱发的年龄相吻合,也证明雄性激素对脱发至关重要。另一方面,成年之后,随着年龄的继续增长体内雄性激素呈下降趋势。关于这个观点在学术界也基本达成共识,有诸多文献可以作证【1,2,3,4】。
于是有人期盼随着年龄增长,雄性激素降低,从而使雄性脱发得到缓解。
但以上提到研究文献中,必须注意两点:
(1)关于雄性激素降低的研究多从中年男性(40岁)开始,研究中最小年龄40岁,平均年龄50岁到60岁,也就是说学术界认定的雄性激素随年龄降低大多从40岁之后的中年开始;
(2)所谓雄性激素降低中的雄性激素指的是睾丸酮(T),而不是对脱发其关键作用的双氢睾酮。
很多人认为双氢睾酮由睾丸酮转化而来,当睾丸酮降低双氢睾酮也降低,但事实并没有那么简单。
有文献【5,6】研究认为虽然雄性激素睾丸酮中年之后随着年龄的增长呈下降趋势,但双氢睾酮却基本上维持原来水平不变。而非常重要的研究文献【4】通过十年时间追踪上千名男性,通过纵向研究数据分析,随着中年男性年龄的增大,双氢睾酮(DHT)不仅不降低,反而呈上升趋势。从研究的专业性和学术论文的质量判断文献【4】的结论更加可靠:男性中年之后,随着年龄的增长,睾丸酮浓度逐渐降低,但双氢睾酮浓度呈增长趋势。
于是有人认为,中年之后双氢睾酮(DHT)浓度增高,所以中年男性脱发比例增大,脱发严重。从这个角度讲,DHT浓度升高对脱发确实没什么好处。这种观点和很多人的认知基本相符。
但我们依然需要注意几个问题:
(1)相比年轻人,中年之后的男性真的脱发更严重吗?我不认为真实情况是这样的。我在文章《关于雄性脱发一些问题的讨论》中说:脱发是年轻人的专利,而秃头是老年人的专利,中年是他们的衔接点。大多数脱发的人都是年轻时脱发严重,中年之后反倒稳定,或者已经无发可脱。这也是为什么年轻人不适合植发,而中老年人更适合植发。
(2)以上文献中研究的DHT浓度均为血液中DHT浓度,而真正决定是否脱发的是头皮组织中的DHT浓度,这两者有相关性,但绝非等同,很多时候我们默认两者呈正相关。这也说明为什么大多数脱发者血液DHT浓度正常却依然脱发,头皮组织内DHT浓度偏高。我在文章《谁开启了雄性脱发的开关?》中讨论过这个话题。
(3)之前的研究文献【5,6】一般认为DHT随年龄的增长变化不大,但文献【4】研究更加权威,数据处理更加科学,不仅做了横断面研究,更做了长达十年的的纵向研究,但不论十年前还是十年后的横断面研究都显示结果和文献【5,6】一致,也就是DHT基本保持不变,而纵向研究结果却惊人的发现DHT十年间每年增长3%,研究者给出的解释:这种DHT的持续增长是机体为了弥补T浓度下降,T浓度的下降与个人身体健康有很大关系,身体健康中年之后睾丸酮下降速率慢,身体不健康则睾丸酮浓度下降速度快,可能需要更多DHT来弥补以维持男性特征。
(4)横断面研究数据显示,年龄大的人DHT浓度并没有升高,纵向比较,确实有一部分人随着年龄的增长DHT浓度持续增高。另外,每年3%浓度的增长会不会真的让人脱发更加严重也值得讨论,因为非那雄胺治疗脱发抑制70%浓度DHT才会在头发上表现出作用,这种级别的DHT浓度波动会不会在头发上变现出来?
但我依然认为年龄对雄性脱发没有决定性的影响,你不太可能通过自己的年龄来预测或控制自己的脱发,目前你脱发的样子和环境、药物等有关系,但你最终会发展成什么样子,很可能是基因决定的,就如同一个人最终能长多高。
经过以上分析,我们可以得到结论:
(1)中年之后(40岁以上,甚至45岁之后),男性体内雄性激素睾丸酮逐渐降低,而双氢睾酮却不降低,甚至有持续增高的趋势。重要研究文献【4】认为这是机体为维持男性性征对睾丸酮降低的补偿方式,双氢睾酮作为雄性激素的能力更强。
(2)我既不认为45岁之后脱发会变得更严重,也不认为脱发会因为年龄增大而有较大缓和(这里的严重程度,不是指脱发等级,而是指脱发发展速度)。我认为和之前没有本质区别。很多人无法理解这一点,认为中年之后脱发变严重是忽略了中年之前脱发者的累积效应,认为中年之后脱发缓和是忽略了很多人中年之后无发可脱,或者经过20岁到45岁雄性激素剧烈摧残之后剩下的毛囊都对DHT不那么敏感。
(3)但这和我们大多数人并没有什么关系,不用到达中年,我们大多数人就不再关注脱发。
更准确地总结:中年之后因为DHT持续存在甚至升高,会导致脱发(速度)持续或者变得更严重,但对大多数脱发者而言,此时脱发(速度)已经不具备持续加速的可能性,而对于剩下的头发或者从中年之后才开始脱发的人,这些头发本身对DHT的敏感程度就低,也无法表现出脱发加速恶化的趋势。总体而言,人到中年,身体具备了使脱发持续恶化,或者变得更严重的条件,但头发情况不具备,所以整体而言中年之后脱发并没有变得更严重,反倒是表现出有所缓和的趋势,但这并不是年龄的功劳。
参考文献:
【1】Harman SM, Metter EJ, Tobin JD, Pearson J, Blackman MR 2001 Longitudinal effects of aging on serum total and free testosterone levels in healthy men。 J Clin Endocrinol Metab 86:724–731
【2】Hsieh CC, Signorello LB, Lipworth L, Lagiou P, Mantzoros CS, Trichopoulos D 1998 Predictors of sex hormone levels among the elderly: a study in Greece。 J Clin Epidemiol 51:837–841
【3】Gray A, Feldman HA, McKinlay JB, Longcope C 1991 Age, disease, and changing sex hormone levels in middle-aged men: results of the Massachusetts Male Aging Study。 J Clin Endocrinol Metab 73:1016–1025
【4】Feldman HA, Longcope C, Derby CA, et al。 Age trends in the level of serum testosterone and other hormones in middle-aged men: longitudinal results from the Massachusetts male aging study。J Clin Endocrinol Metab。 2002;87(2):589-598。 doi:10.1210/jcem。87.2。8201
【5】Barrett-Connor E, Von Mhlen DG, Kritz-Sliverstein D 1999 Bioavailable testosterone and depressed mood in older men: the Rancho Bernardo Study。 J Clin Endocrinol Metab 84:573–577
【6】Belanger A, Candas B, Dupont A, Cusan L, Diamond P, Gomez JL, Labrie F 1994 Changes in serum concentrations of conjugated and unconjugated steroids in 40- to 80-year-old men。 J Clin Endocrinol Metab 79:1086–1090
数学模型
从数学角度分析以上问题:
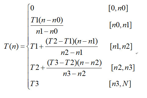
脱发等级随年龄变化的简化数学模型:定义脱发等级T(定义域为0≤T≤7)为年龄n(定义域为0≤n≤N)的函数T(n),脱发开始的年龄为n0,脱发发展初期[n0,n1],发展为T1等级,脱发加速发展阶段为[n1,n2],发展为T2等级,脱发发展末期[n2,n3],脱发最终稳定年龄为n3,最终稳定等级为T3。
那么脱发等级关于年龄的函数可以表达如下:

只要找到关键的几个数据(n0,n1,n2,n3,T1,T2,T3)就可以带入公式得到具体的函数表达式。
你还可以做图看看脱发等级T随年龄变化的图像大概如下:

倘若你对T(n)求导,就可以得到脱发速度随年龄的变化规律,你可以想象图像是什么样子的。
当然以上只是数学简化模型,而真实的脱发等级函数模型应该如下图所示的样子:

对其求导可得脱发发展速度随年龄变化曲线如下:

一般而言,n0的年龄为20岁左右,n1到n2为25岁到40岁之间,n2到n3为40岁到45岁之间,人至中间,45岁以后,脱发也基本进入稳定期不再发展。