首先,关于熬夜(学名应该是睡眠剥夺,sleep deprivation)会不会导致脱发的真人实验是不存在的。这类实验潜在的风险和较高的执行难度,以及极低的科研价值,都使得我们很难直接去研究熬夜与脱发的关系,目前关于熬夜是否导致脱发的问题,基本只能靠推论。
怎么推论呢?前阵子河海大学做了一个范围不小的有关脱发话题的调查问卷,对可能导致脱发的原因和以及脱发人的比例做了一些统计和分析。其中和睡眠时间相关的数据也有不少:

这个数据显示,晚上11点到2点睡觉的同学,“有较严重脱发现象”和“快秃了”的比例明显提升。3点之后的样本较少,所以不列入对比。

在受访者对“导致自己脱发的主要原因”分析中,排在前五的依次是:“睡得太晚”(54.8%)、“学业压力”(50.75%)、“科研压力”(44.9%)、“睡眠不足”(43.3%)、“心理压力”(41.9%)。
以上这两个数据都显示熬夜对脱发有非常密切的影响,睡眠不足的人有更大几率导致脱发或者加重脱发。
此外,调查也显示,压力过大的人也更容易导致脱发,而精神压力和熬夜多数情况下也有相关性。

上面这个调查并不是一个严肃的科研课题,因为在样本的选择、研究方法、对照组等等环节上都没有深究,只能算是一个学校的调查问卷,但是老张仍然觉得这些问卷很有参考意义,首先它的时间是在今年,最贴近当下的情况,其次是学校组织的课题,不带有商业性质,可信度反而更高。
所以那么多人认为熬夜会导致脱发不是没道理的,至少在小范围的调查中都显示了熬夜对脱发的直接影响。
——————————————————
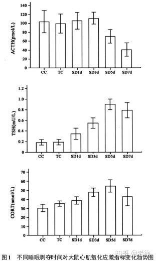
科学的研究有更严谨的方法,当然目前针对睡眠剥夺的研究模型仅仅只是小鼠,不过已有的研究数据都表明,被睡眠剥夺的小鼠,血液中的促肾上腺皮质激素(ACTH),促甲状腺激素(TSH)和皮质醇(CORT)等激素水平都会发生变化。

正常情况下人体内的激素分泌是平缓有规律的,熬夜这样的行为会打乱这个规律,带来一系列的蛋白质合成和表达的障碍,有很大几率会影响头皮角质蛋白的合成,引发休止期掉发和头发生长缓慢这类的问题。
熬夜的危害还有很多,这里就不多继续列举,我觉得熬夜之所以导致脱发,最关键的还是熬夜这样的行为导致激素水平的波动,无论是精神压力也好,还是熬夜本身的行为也好,到最终影响到的都是激素层面上的变化。这是千真万确的事实。
但是脱发这个事情,是一个多变量的过程,熬夜可能只是其中一个不大的部分,现代医学认为脱发的成因仍然是基因上的缺陷,经常熬夜的人也未必会脱发,从来不熬夜的人也可能是秃顶,所以无法划上直接的等号。但是有一点是我坚信的事实,不管你有没有脱发基因,熬夜都会使你的头发变得更糟糕,不管是从现实中的经验,还是一些间接性的研究,都是这样。
——————————————————
最后给年轻人一个忠告,不要小看睡眠剥夺带来的危害,头发没有了可以植发,记忆力和器官退化之后,就很难逆转。我见过很多人对汽车和机械表的保养非常重视,生怕哪些事情没做好影响了它们的寿命,但人们似乎没有意识到,人体是远比任何机械都要精密和珍贵的存在,却很少有人去真正学习如何保养它,去延长它的寿命,这是现代人的一种悲哀。