脱发危机多次出现在热搜榜上
可想而知它真的让很多人为之抓狂
最近网友关注最多的就是
杜海涛健身瘦了,但也秃了

甚至有些人调侃:秃头是检验颜值的新标准。
最近有一些发友私信我最多的问题就是“健身多了,会脱发吗?”“脱发是健身引起的吗?
那么问题来了难道健身真的会让人秃顶?
答:很有可能
为什么会脱发?
要想了解脱发和健身之间的关系,首先要知道为什么脱发?脱发最常见的类型就是雄激素脱发,这类脱发的原因是雄性激素和5α还原酶。雄性激素和5α还原酶一起会生成双氢睾酮(DHT),俗称“毛囊杀手”,它会在还原酶的作用下转化成DHT出现掉发的情况!
健身与脱发之间的关联
当你大汗淋漓的撸铁时,体内的雄性激素分泌量会增多,与5α还原酶合体,产生DHT(雄性激素双氢睾酮)。DHT增加以后,会侵害毛乳头,让毛囊提前进入休止期不再生长,掉落形成脱发。这么看来,健身果然会脱发!但是,里面有一个很关键的要素。那就是你是否具有雄激素脱发特性。当我们聚焦到健身本身对雄激素的影响,重点关注DHT,DHT是雄激素脱发的“元凶”,我们应该关注的问题是健身会不会增加DHT的水平或者增加雄激素敏感性,从而加剧脱发。
无氧运动如杠铃、深蹲等强度高,需要瞬时爆发的运动,都是“抗阻力训练”(Resistance Training),这是克服外部阻力的同时完成运动技术动作的训练方法。
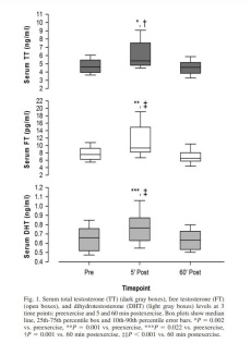
有文献提到抗阻力训练让体内产生更高水平的雄激素。比如2013年一项研究发现健康年轻的男性在短跑后,5分钟后体内的血清睾酮和DHT水平会“急剧升高”,60分钟后会恢复到接近正常水平。

高强度无氧运动会提高DHT,DHT会损害头发,因此健运动健身一定要把握好度,不只是强度,运动持续时间也需要把控好。

选择合适的运动方式及运动量非但不会加剧脱发,反而有利于延缓脱发,根据2021年中南大学湘雅医院皮肤科的一项研究,有氧运动有助于延缓雄激素脱发的进展,改善病情。注意这里的改善即运动后脱发较之前减轻或未继续进展,并不是说头发变多了。
长期进行有氧运动改善病情可能与其促进血液循环,增加血氧饱和度及改变毛发生长所需的微量元素浓度等相关。头皮毛囊得到充足的血液供应,可为毛囊输送更多营养成分以及促进毛发生长的微量元素。

对于患有雄激素脱发的无氧运动爱好者来说,长期进行高强度无氧运动很可能会加速秃发的进程,因此不建议AGA患者选择长期无氧运动,可选择少量、短期或间断式无氧运动,以及适度的有氧运动或伸展类运动。
雄激素脱发是一个相对长期的过程,高强度健身会加快这个进程。相比之下,短时间、低强度的健身训练以及日常的运动健身,不会加剧脱发。适当健身不仅舒展身心,还可延缓雄激素脱发进程,也能避免慢性压力所引起的脱发。